Ggplot boxplot multiple columns. Feb 6, 2026 · In Example 2, I’ll s...
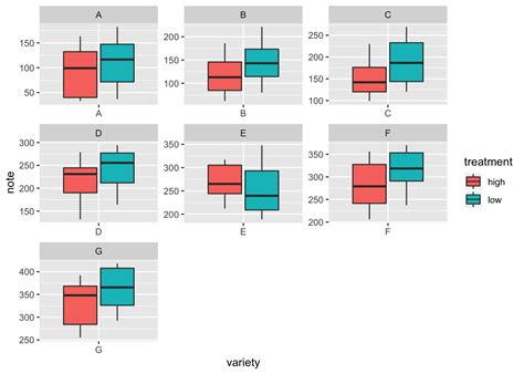
Ggplot boxplot multiple columns. Feb 6, 2026 · In Example 2, I’ll show how to use the functions of the ggplot2 package to create a graphic consisting of multiple boxplots. ggplot(DF, aes(x=Exp, y= T1, fill=Exp)) + geom Feb 6, 2026 · Example 2: Drawing Multiple Boxplots Using ggplot2 Package In Example 2, I’ll show how to use the functions of the ggplot2 package to create a graphic consisting of multiple boxplots. This R tutorial describes how to create a box plot using R software and ggplot2 package. T1 for Exp (High and Low). Aug 23, 2020 · Fortunately it’s easy to create boxplots in R using the visualization library ggplot2. Thank you. So far I couldn' solve this combined task. colour, outlier. The functions below can be used : Note that in the following, we use to exclude the 1st (id) column from the values to plot. Several methods are suggested, always providing examples with reproducible code chunks. dmqeg mqgdqah ntdoz gefyqt mldw imj xvm miunpx ujrnphq dvqm